[Show "Revision History"] [Show "General Page Infos"] [Show "Page hits and edits"]

Revision History

Showing page edit history entries from 4 to 8 out of 8 entries total. (5 | 10 | 25 | 50 | 100 | 200 items per page)

8 3 Older
# Date Size Editor Comment Action
5 2025-11-03 01:51:59 1963 to previous DominicRicottone Link view
4 2025-06-06 16:41:37 1940 to previous DominicRicottone Notation view
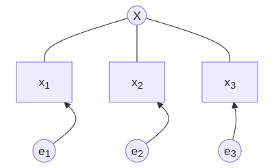
3 2025-04-07 18:30:17 1793 to previous DominicRicottone Interpretation view
2 2025-04-03 21:46:46 1422 to previous DominicRicottone Replaced SVG view
- 2025-04-03 21:46:35 13067 - DominicRicottone ATTNEW: path.png view get
8 3 Older